审批流该怎么设计
审批流程是中后台系统的一个基础功能,核心要点是效率和规范性。
审批流是OA系统的核心模块,很多功能模块会和审批流关联,其他系统也会涉及到审批,审批事项相对没有OA系统那么多。大设计师在设计审批流的过程中,通常是设计审批列表页、进度展示、申请页,不太关注审批流的实现方式。本文将从角色、审批节点、审批流程、审批事项、权限、扩展性展开描述,在接到审批流设计需求的时候可以有更完整的认知,助力业务决策。
确定审批流程之前先要确定业务场景中以下几个事项:
1. 角色:有哪些人参与,这些角色对应的上下级关系如何;
2. 审批节点和流程:会涉及到几个审批节点,是串行流程还是并行流程,流程是否有分支,是否允许中止流程,中止后是直接结束流程还是回到已完成的某个节点,什么情况下结束流程,是否需要复核。
3. 角色权限:主要是查看权限和操作权限,发起人、审批人都有有哪些操作,不同角色查看的内容是否相同,是否可查看操作日志。
4. 审批进度展示的元素:申请时间、申请人、审批时间、审批人、审批结果等
5. 提醒方式:什么条件触发消息通知,是自动推送还是手动推送,是邮件提醒还是协作软件(
飞书、企业微信)提醒
以下内容详细展开描述
角色
发起人:发起流程申请,最关心的是申请入口、审批进度、审批结果,要告知已审批的节点、当前审批节点位置、还未审批的节点,减少因为等待带来的焦虑情绪。
审批人:流程审批决策,最关心的是审批效率,审批内容和操作要尽量精简,减少影响决策效率的干扰性事项。
审批节点
审批节点的数量由申请的业务复杂性决定,可以是单个节点也可以是多个节点。默认为人工审批的方式,也可以选择系统自动处理(自动通过)。
1. 单个节点的审批人仅有一个,发起人发起审批,由一个审批人决定通过或驳回。如请假一天,直属领导审批通过即可。
2. 多个节点的审批人有多个,发起人发起审批,由多个审批人共同决策,每一个审批环节的人都审批通过后,审批才结束。如请假3天以上,需要直属领导、上级领导和行政审批。
审批流程
自主选择审批人流程
通常用于多部门协作,或者公司还没有标准化审批流程时,由发起人或者审批人自主选择协作人员,如下:
1. 发起人提交审批申请时,发起人需要自行选择下一个环节的审批人(也可以一次性选择多个环节的审批人);
2. 发起人提交审批申请时,先由直属领导审批,直属领导审批通过后,再由直属领导选择下一个环节的审批人,下一个审批人审批通过后流程结束。

串行审批流程
串行流程可以只有一个审批人也可以有多个审批人,全部审批通过后流程结束。通常串行流程的各审批人之间是有上下级关系的,串行流程审批驳回可以驳回到发起人、驳回到上一个环节或驳回到指定环节重新审批,具体驳回到哪个环节可以根据业务需要预设好。如销售负责销售公司的相关产品,和客户签单后,销售自主选择跟进这个产品开发的项目经理。

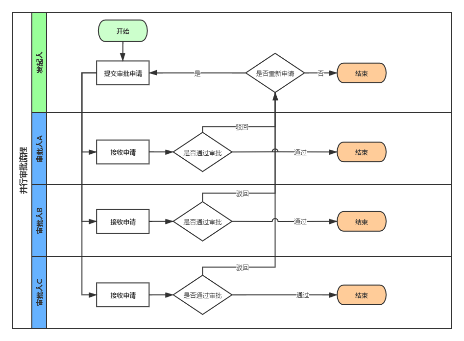
并行流程
并行流程有多个审批人,通常会流转到不同部门之间审批,并行审批模式能提高审批效率,有以下两种情况:
1. 任意一个审批人审批通过后进入下一审批环节或者流程结束,如蓝湖上新成员申请加入团队查看设计稿,有一个管理员通过申请即可。
2. 必须所有人审批通过才进入下一审批环节,审批人可能是同一级别的,也可能审批流程除了父流程还有子流程,是不同业务分支的负责人进行审批。
并行流程的驳回要根据业务复杂度来判断,只有一条审批流时,有一个审批人驳回则该流程就算结束;当涉及到其他业务分支时,某个分支驳回时只影响该分支审批结果,即有一个分支驳回时,发起人只要修改被驳回的那部分信息即可,其他已经审批通过的环节不需要在修改,所有的审批都铜过了整个申请流程才算结束。

条件触发流程
条件触发流程是系统基于条件判断,确定审批节点和审批人,如请假3天以内直接领导审批,3~5天还需要上级领导审批和行政审批,大于5天流程还会涉及到更高层领导。

审批事项
不同的审批事项需要提交的内容不同,发起人发起审批申请时只需要填写最重要的内容,减少发起人的填写负担,同时提高审批人的决策效率。
以请假为例,对于发起人来说核心内容是请假类型、请假时间和请假事由;对于审批人来说核心内容就是发起人是谁,申请时长、申请事由、以及是否批准,不批准的话需要补充驳回理由。
审批人进行审批时可以预置常用的内容,如审批人审核通过后无需填写内容,默认填充“同意”或者选填,或者简单的文本框输入。对于驳回的审批一定要写驳回理由,方便发起人知道驳回原因并进行修改。
通知
发起人发起申请后需要通知审批人需要审批的事项,审批人审批后需要把审批结果告诉发起人,可对消息通知进行配置,采用主动推送的方式提醒审批人和发起人。推送的消息内容尽量简洁切中要点,一眼就能看到消息主要内容避免长篇累牍。
对于审批时间流程过长或者不及时的情况下,为了避免发起人因为等待而产生焦虑情绪,发起人可以通过邮件、协作软件和当前环节的审批人及时沟通催促进度,也可以配置发起人在一定时间后可手动触发对审批者的通知,触发的时间和频率需要控制好避免造成打扰。
权限
审批流的权限主要是针对不同角色控制查看权限和操作权限。
1. 发起人可申请、撤销、取消;审批人可通过、驳回、选择下一个审批人。
2. 对于多分支流程审批,各分支的数据应该严格按照审批流去展现控制查看权限,既减少审批人的决策负担也保证了数据安全性。

一般审批流程是不允许删除的,尤其是进行中的流程,要是允许删除的话,最好是显示操作记录。
注意取消、撤销区别:取消是指审批驳回后发起人取消审批申请,再新建一条申请;撤销是指发起人发起审批后,该流程还未审批时,发起人需要修改申请信息或者不想申请了就可以撤销该申请。
审批人可以驳回至发起人、驳回至上一环节或者特定审批环节,且需要填写驳回原因,审批进度条上会展示驳回原因,发起人根据驳回原因修改相关信息重新发起申请也可以新建申请流程。
驳回后审批进度条可显示完整的审批路径,也可以只显示重新发起后的审批流程(驳回的那一条记录不再显示)
扩展性
审批工作流的配置灵活度需要由业务需求决定。一般针对公司内部使用的中后台系统,审批流程较为标准化,商业化的系统,为了满足不同公司的审批标准,系统可默认设置一个审批节点,公司可以灵活的创建所需要的审批流程。
配置的灵活性体现在以下方面:
1. 可设置审批名称、审批规则;
2. 可设置审批节点:可以一个人审核,也可以多个人审核(多人会签);
3. 可设置审批方式:对于多个审批人可设置依次审批、协同审批,也可以仅通知;
4. 可设置审批人:包括主管、部门负责人、指定成员、其他职能人员,或者自主选择审批人(审批如需告特定的人,可在审批节点设置抄送人);
5. 可设置审批流程:可自行决定在哪个节点添加审批发起人、审核人、流程分支、条件判断;
6. 可设置表单权限和操作权限:在当前节点,表单内容是否允许可读或可编辑,审批人是否可以转交、增减下一个审批人


(这两张图来源于网络)
补充说明1:
对于已经发起的审批,审批流上的相关人员离职后,审批处理情况有以下方式:
1. 离职员工是发起人,系统将自动抄送给其直属领导,若直属领导也离职,系统自动抄送给流程的负责人。
2. 离职员工为审批人,系统将自动转交给离职员工的直属领导,若直属领导也离职,系统会自动转交给上一级领导。
补充说明2:
对于审批流程节点特别多的,尤其是有多个分支节点,审批进度展示所有节点会受屏幕尺寸限制导致节点换行,也会增加发起人查看进度的难度。对审批流提炼出重要节点或者对节点进行分类,简化审批路径,让界面更加简洁。

总结
审批流的核心目标是提高企业运行效率,设计的核心要点是:页面要尽量简洁,操作尽可能精简,选择合适的审批流程,审批进度清晰可查,审批事项及时通知,审批流程可配置,做好权限管理






































































