产品解析-短视频
本文以短视频行业领先的快手、短视频黑马的抖音、社交之王的陌陌为例进行研究及全方位的拆解分析... ...
目录:
1/行业分析
1.1国内现状
1.3市场趋势
1.4投资情况
2/竞品分析
2.1竞品选择
2.2竞品现状
3/战略层分析
3.1产品定位
3.2用户分析/痛点
3.3用户画像
3.4产品运营策略
3.5产品盈利模式
4/范围层分析
4.1产品功能对比
5/结构层分析
5.1产品结构框架
5.2产品核心流程
6/框架层分析
6.1首页界面
6.2拍摄界面
6.3编辑界面
6.4视频界面
6.5核心界面
7/表现层分析
8/总结及前景
1/行业分析
在大环境下得益于短视频在之前移动视频发展的最大阻碍网络及流量的限制在网络技术的进步、4G网络的成熟,有别于长视频对流量,视频质量的要求。短视频的时长简短及简单制作过程造就了它在当下环境蓬勃发展。2017年移动视频红利基本结束,直播行业进入稳定发展期,而短视频再次成为热点。其中,短视频社交平台用户年限不断稳定增长,并与视频的差距逐渐缩小,短视频也将成为未来信息传播、内容生产的重要载体。
1.1国内环境
目前中国互联网用户渗透率超50%,流量资费大幅下降,这直接推动了短视频行业的发展。数据显示,2016年中国短视频市场活跃用户规模为3119万人,相比2014年同期增长66%,且未来还将持续增长。

1.2行业背景
2017开年以来,国内短视频市场热闹非凡,腾讯先后宣布关停微视和领投快手,阿里大文娱旗下综合视频网站土豆全面转型为短视频平台,随着BAT的入局,短视频市场进行了快速发展期。各方大佬都看中了短视频这个巨大的流量入口。互联网最基本的是流量生意,在如今流量越发珍贵背景下。短视频在传播上能以较低成本获取流量。性价比很高。基于如今一个庞大的用户基础且还有大量用户市场未开发,也许这才是资本市场看中的关键。
今年以来,短视频行业进入集中爆发期,行业存量增速急速加剧,据1991IT数据显示,截至2017年5月1日,行业存量超过2.5亿;日活数据也是一路高歌猛进,同样截至今年5月1日,行业整体日活超过5000万。随着时间的碎片化越来越强,短视频依靠时长短、数据流量少的优势持续吸引大量用户。据中国产业信息网显示,以月均DAU/MAU来计算用户粘性,2017 年3 月,短视频应用的用户粘性增长至29.6% ,与在线视频的差距逐渐缩小,说明用户的使用习惯逐渐发生改变,对于短视频的偏好增强,对短视频应用的使用频率逐步提高。

1.3市场趋势
短视频无论从内容生产、平台分发和讨论指数,都在今年得到无限放大。2017第二季度短视频平台活跃用户规模高达2.8亿,人均单日使用时长最高可达72.5分钟,人均单次启动8次,短视频平台用户相对稳定。

根据易观千帆数据显示,中国短视频综合平台用户人均单是启动次数和人均单日使用时长呈上升趋势,随着市场走向成熟,短视频口味将更挑剔,更注重短视频内容质量。

1.4投资情况
根据媒体此前发布的《2016年短视频内容生态白皮书》显示,仅2016年短视频内容创业方面融资事件已超过30起,融资金额规模高达53.7亿元。可见,短视频行业备受资本的青睐。据中国产业信息网的《2017-2022年中国短视频行业市场运营态势及发展前景预测报告》显示,2016年短视频领域投资方向分布以内容创作为主,占比高达62%,其次是占比达30%的分发平台,可见投资者对内容创作方向的短视频的重视。另外,从2015年至2017年2月,短视频内容创业投融资事件共58例。
今年开始,短视频行业进入集中的爆发期,今年3月底,短视频直播平台快手宣布,完成新一轮腾讯领投的3.5亿美元的融资,市场估值高达40亿美元。数据显示,快手的总用户达到4亿,日活跃用户高达5000万,在社交应用中仅次于微信和QQ。3月31日,阿里巴巴文化娱乐集团召开短视频战略暨新土豆发布会,宣布土豆全面转型为短视频平台,全力进击PUGC领域。具体举措上,土豆网将投入20亿元现金打造“大鱼计划”,针对MCN机构推出了业内独创的对赌激励模式,年播放量达到约定数值即可获得100万元奖励。而最近几年端视频行业也是炙手可热。

2/竞品分析
2.1竞品选择
快手/抖音/陌陌
选择原因:快手作为目前短视频领域的一哥,不管是装机量用户活跃度使用时长上在该领域都是遥遥领先的。最具有代表性和研究价值。抖音主打年轻的垂直音乐短视频,其定位与我们当前产品的用户人群较贴切,且抖音作为新生代短视频领域上升最快的黑马,短短一月之内,原本在APP Store排行榜50开外一跃跻身音频榜单的前五,值得我们拿来研究分析。陌陌主打视频社交,在视频领域及社交领域的佼佼者,而我们的产品带有较强的社交性,所以纳入分析,在本次竞品中作为社交区域的代表。

2.2竞品现状

快手:(截止2018年8月)

抖音:(截止2018年8月)

陌陌:(截止2018年8月)

以上的图表数据不难看出,快手在用户中的下载量,用户使用量,覆盖率等关键数据都是遥遥领先与友商的。当然这跟快手早前最早进入短视频行业的辛劳耕耘不无关系。
快手作为一个月均设备活跃数达到接近一亿,环比增幅5.4%,但在短视频行业活跃了七年之久的明星级应用时至今日它的增长率自然无法像抖音(环比增幅98%)一样依然保持高增长的势头。
下面我们来看看如此庞大的下载量下,三款产品的用户评论如何:
快手:

抖音

陌陌

上图对比可以看出,快手评论数体量大,总的评论数让后面两位依然是望其项背。而且在高评论数下快手在好评率上依然保持着领先地位,这就显得难能可贵了。这也可以侧面看出快手的这几年的精耕细作积累了不少的好口碑。抖音作为黑马,评论量和下载量以飞快速度增长,且好评率较高。而陌陌作为视频社交的开拓者,好评率明显偏低。
3/战略层分析
3.1产品定位

3.2用户痛点
1.现代人对于自我表达的需要
我们的社会从过去的封建保守到如今越来越开放进步着,人们对于自我表达越发的大胆。尤其是90后年轻人,追求标新立意,希望与众不同,秀出自己。而短视频正好迎合了这部分人群的需要。操作简单,短视频视频的表现方式比图纸更加直观具有冲击力。比图纸形式能展现更加生动丰富的内容。
2.成本低效果好
由于科技的进步,原本只能靠专业摄像机才能录制视频。现在智能手机的普及与发展使得人们可以轻松的制作属于自己的画质清晰的小视频。并且传播方式也简单直接发送到网上就可以和其他人分享还不用花钱。
3.碎片化时间利用
随着现代社会生活节奏的加快,人们精神状态经常是紧绷的。需要得到有效的缓解,而短视频利用人们碎片化的时间做到随时放松,适用于多种场景。如电梯,公交,用餐等。从娱乐放松上来说短视频性价比是最高的。
4.社交需求
现代社会表达和交流是共存的,90后年轻人乐于表现自己更乐于交友,通过别人看到不一样的世界,同时对于单身男女来说,视频是更直接了解对方的新媒体方式。
3.3用户画像
快手:


抖音:


陌陌:


3.4运营策略
快手
快手作为一个短视频社交平台,平台中布满的都是UGC,快手的愿景是用短视频纪录普通人的生活,快手内容由用户主导,快手对内容不进行过多的引导,也不会对大v进行流量倾斜,快手不签约任何明星网红、不打擦边球、不主打直播。
让用户自然增长就像是自由市场一样。坐拥第一大粉丝群的快手天佑,也是底层出身,其内容主要是迎合底层审美需求,在其离开快手之前,快手高管也从未和天佑接触过。我们在快手的首页也可以看到快手并没有像其他短视频app设置频道分类,只有同城,关注,发现三个标签。没有内容的引导。
抖音
1.借助热门综艺
抖音的最新版本名称叫做:抖音短时频 – 中国有嘻哈官方推荐。前段时间有个火爆的综艺节目——中国有嘻哈,抖音和这个综艺合作可谓是明智之举,嘻哈音乐本身的强节奏感、律动感和潮范都和抖音的产品风格非常吻合,这是对产品的一次成功的宣传和推广,能够博得一众爱音乐、爱潮流的年轻人的好感。
明星助阵提升影响力:在APP里面冒泡的胡彦斌、杜海涛,钟丽缇等明星,产生明星效应并打造出产品相关内容的娱乐IP,提升产品用户粘性。
2.线上+线下同时推广
线上推广:在4月末,抖音和网易云音乐还有过互换资源的合作,可以引导云音乐的用户下载抖音app,当然,点击抖音活动页的歌曲也可以调到云音乐页面听歌,这是一次双向推广的运营活动。
线下推广:除了线上的宣扬推行之外,抖音还采取了线下同时推广的手段,例如:“抖在成都”的活动让一群人在线下玩抖音,充分调动了大家的热情和积极性,还扩大了影响力,相信这次成功的线下活动运作之后抖音团队后续还会不断推出其他城市的线下抖音趴。
3.运用热门挑战
为了刺激更多的用户参与和创作。抖音不定期的会发起一些有趣的挑战,不断地为用户提供新的创作灵感,这样不仅提升了用户的活跃度也提高了用户的粘性,而且用户觉得有趣好玩后还会推荐给身边的人,带来用户的新增。
陌陌
1.签约主播,对于整个用户群而言,这其实是在降低软件被卸载的概率,提高用户留存率。
2. 社交和直播相互促进整体用户活跃和留存。其实本质上讲直播也是一种社交,这里小标题中的社交指的是陌陌原有的社交模块。社交是由三个部分组成:社交关系链、社交内容载体、社交场景。社交关系链很好理解,用户与用户之间建立联系,发生交互行为,这就成了社交关系链。社交和直播两个模块相互促进彼此转化率的提升,也带动整个陌陌的用户活跃,甚至有望将陌陌的用户规模再往上提升一个台阶。
3. 陌陌在游戏方面的产品和研发积累,始于2014年。陌陌游戏采用代理加自研的两条腿走路,在过去三年中,陌陌的游戏在收入结构中,占比最低但一直稳中有升。陌陌2017年一季度财报显示,移动游戏营收为1160万美元,与去年同期的740万美元相比增长56%。
3.5盈利模式
快手:
直播打赏礼物:目前在使用的过程都没有广告的迹象。所以目前也没有获得广告收入的途径。但拥有一定量的粉丝用户是可以开通直播功能的,根据快手的平台规定,通过快手观看直播的用户给播主的礼物打赏是直播播主和快手55分的。所以目前只有一部分人可以直播,但相信之后会随着技术和法律法规的完善会放宽直播的要求,有一天可以全民直播。
信息流广告:广告作为互联网公司最重要的收入来源之一。快手目前也在做信息流广告测试。部分知名品牌也表示了兴趣。不久就会上线。
粉丝头条:还有一个就是快手的一个粉丝头条。粉丝头条是通过付费帮助内容发布者增加推送,属于快手提供服务收取服务费。
抖音:
抖音没有直接变现的模式,而是通过流量及粉丝经济进行盈利。依托于头条高流量引流吸引用户大卡,增粉迅速,抖音高粉大卡通过上传的视频怎么变钱呀?其实,抖音是做短视频社交,它玩的是粉丝经济,很简单,就在视频直接植入广告,增加用户收益,但对于都以本身来说,目前处于扩张前期阶段,以后如果没有需要付费的送礼物机制,抖音通过什么模式来盈利呢?广告,销售周边商品,还是后续会有新的被收购动作?这些通过目前调研的结果都不得而知,但一个产品如果没法盈利的话,它的确是很难长久活下去的。
陌陌:
陌陌4.0版本发布后即逐渐商业化,并且开始盈利,营收大头正是会员,占比67.1%,其次是游戏,占比26.3%。对于一个社交产品而言,陌陌的几个商业化方向都是和主营的社交方向契合的,包括会员、游戏、直播、付费表情,还有信息流广告和基于LBS的移动营销。信息流广告和移动营销是针对B端的商业化场景,尤其是基于LBS的移动营销这块,与之前火热的O2O服务进行结合,能有较好的转化效果,这是其他平台不具备的优势。
会员,天生是社交产品的附属物,不管是QQ、贴吧还是陌陌,都在利用会员来制造社区中的身份等级差异。对于陌陌而言,通过会员等级来匹配用户,能够更有效得促成陌生社交关系链的建立,也能够减少社区里的部分垃圾信息。在让用户玩得爽的同时,还能顺便带来营收上的增长。
游戏,这条路线是模仿微信的,凭借微信平台的游戏分发能力和社交关系优势,腾讯游戏一举成为游戏行业最大的赢家,并且赚得满满。陌陌在这一点上和微信有着相似性,8000万月活跃用户,同样有着社交关系链,对于已经被同行验证可行的商业化模式,陌陌毫不犹豫跟进落地。
直播,这是财报中最大的亮点,甚至收入都超过了已经做了两年的会员业务和游戏业务,陌生社交和直播的强结合让用户活跃度和收入都大涨。从产品层面,陌陌把「直播」放在了一级入口,可见其重视程度。陌陌的用户普遍比较年轻,在此前的会员、游戏项目中积攒了付费习惯,加上长期社交关系的沉淀,虽然起步不早,但是在同行中跑得最快。
付费表情,这也是模仿微信的一个项目,表情包现在已经成为人们沟通时的必备神器,尤其是在陌生人场景下,新添加好友破冰时,表情包是最受用户欢迎的。
以上几个商业化场景都是根植于社交这件事本身,围绕用户社交需求进行涵盖或者延伸,这种商业化的方式是最不容易招致用户反感,甚至还会增加用户黏性。
4/范围层分析
4.1功能对比


在功能上,三者在视频的整个拍摄编辑分享的领域功能几乎都覆盖完整,在视频编辑上秒拍相对两者功能相对缺失,这也跟其社区属性定位有关。在个别功能上,快手有一个粉丝头条的功能,在盈利模式比较匮乏的短视频行业,这可以说是快手的一个尝试。抖音最为短视频黑马各项功能较为完善,视频编辑配乐及视频效果等更加炫酷多样,更符合年轻人群与众不同凸显自我风格的特点。而陌陌功能上的悬赏活动让用户自发创造话题带动社区的活跃,从用户中来到用户中去。一定程度上让社区自运营,效果很好,因为用户才是最了解用户的。
5/结构层分析
5.1产品结构框架
快手:

抖音:

陌陌:

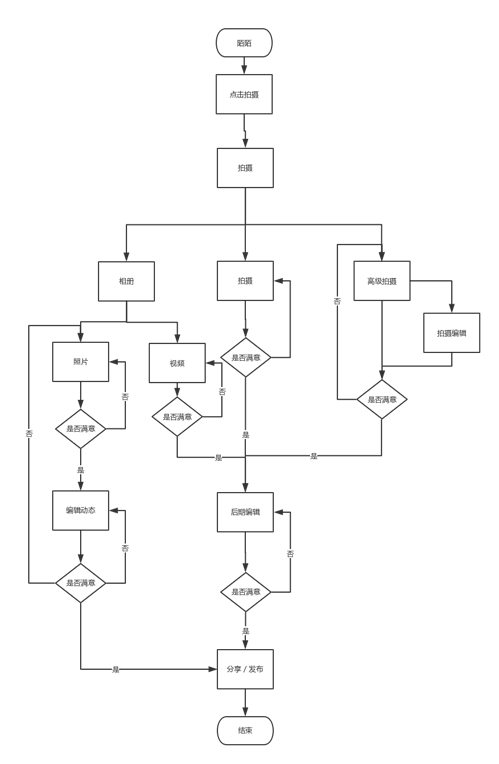
5.2产品核心流程
快手核心功能业务流程梳理如下:

抖音短视频核心功能业务流程梳理如下:


陌陌核心功能业务流程梳理如下:

6/框架层分析
6.1首页界面
快手:首页的界面则相对简洁,顶部导航栏只有菜单,关注,发现,同城录像等按钮。相比其他两款产品,快手的视频呈现是随机出现的,用户只能够刷新页面更换想看的视频。但好在用户对所观看的短视频也有过滤选项,可以长按减少类似作品,提高了一定的精准性。
抖音:首页以推荐为主,用户以来就是最热短视频推荐,用户可快速融入其中,增加好感度。整体以底部导航为主辅助与顶部导航,相结合的设计最大程度运用界面控件,元素得以最大程度呈现。中间的拍摄按钮采用了Glitch art风格,即贴题有醒目,用户可第一时间参与其中。 上下滑动切换视频的交互符合年轻人的快节奏特质,但是首页视频呈现量较低,用户可选择空间也较为低,好在发现功能缓解此处尴尬。
陌陌:首页以宫格呈现,主要取决于momo强社交型,功能点最大程度呈现,用户可选择性最大化,满足不同人群需求,momo首页对留住用户起了较大作用,但宫格的弊端无法突出重心也暴露无遗。交互方面的上滑进入附近动态列表,瀑布流呈现,相对简洁,与快手类似。

6.2拍摄界面
在拍摄界面呢,功能都基本一致,但按钮布局略有不同。从界面上来看快手与其他两款产品拍摄的视频比例并不一致。像快手是趋近于4 : 3,抖音与陌陌则是16 : 9。而在其他功能也有些差异化

6.3编辑及视频界面


6.4个产品区别总结
快手:
界面简洁,但又保证了功能不确实,查找关注分享一应俱全,在分享中设置了三种可见状态,是其独有的功能。
抖音:
抖音以话题形式聚合视频及用户,社区性较强,视频播放模式下左滑进入创作者主页,很大程度上增强了用户与内容生产者之间的联系。且抖音深耕音乐领域,音频细分方面做的到位,一定程度上也是当下年轻人对他喜爱有加的一个重要原因,为抖音的黑马逆袭提供资本及动力。
陌陌:
momo强大社交牌,无时无刻体现了其自身的社交性,消息/关注/个人中心等互动无处不在,增强了用户的粘性。同时开辟的直播功能也是其强功能,网红效应为陌陌带来用户的同时也给陌陌带来很大收益。
7/表现层分析
1.色彩舒适度
这三类竞品在色彩的运用上都比较娴熟,整体色调较为简约,看起来不会显得杂乱无章。另外三者都很机智的使用了色彩学中的“极色”黑色白色为背景色。由于黑色白色没有冷暖之分,所以可以与其他任何色搭配。所以在色彩上看上去都很和谐。
2.文字的主次
文字上三者都表现尚可,按钮在选中的状态下都会变色来凸显。对文字的颜色和大小的设计使得文字都可以一目了然。
3.信息可读性
快手的设计界面比较简洁,除了视频界面,其他界面都很素净。这也是作为一个短视频软件所要突出的重点。而抖音和陌陌则在界面上色彩运用会浓一些。陌陌在主要界面的功能模块多些,但都有做到错落有致,不密不疏。相应的功能都有相应的排列顺序。
4.UI识别性
在icon设计上三者都很形象话,一看就知道按钮的功能。但陌陌运用了不同色彩上的对比,功能区分更明确,使得图标更具识别性。
5.交互性与易用性
都使用了扁平化的设计风格,简单易用的交互设计语言。快手交互简单易懂,轻松上手,而抖音与陌陌交互手势较为新型,符合当下年轻人的创新特质,更符合其本身人群定位。
8/总结及前景
快手:
这里先回溯下快手从诞生至今的迭代历程。最初的快手只是一款纯工具型产品,其核心功能就是制作GIF动图。但是从12年末快手就开始逐步向短视频社交产品转型在13年成功完成转型,在16年又上线了直播功能可以说已经彻底摆脱了工具产品的影子,现在快手的核心功能就是观看短视频、制作上传短视频。所以现在的快手满足的核心用户需求如果用老生常谈的“马斯洛”来理解,可以说快手满足了三、四层面甚至第五层面的需求。用户在快手中可以看到自己感兴趣的内容,并且能与制片人(快手对视频制作者的称呼)互动交流满足其社交需要、娱乐需要;制片人通过制作上传的短视频可以收获支持、鼓励、赞赏满足其成就感、认同感;还有一些深度用户比如一些拥有几百万粉丝的制片人,已经将快手作为自我实现的一种方式。
从用户角度来看快手其整体风格非常简洁清晰甚至可以说简单粗暴,进入快手主要可以做两件事:看视频,发视频。对于看视频,是即点即看操作路径极短;而发视频的操作成本、学习成本都很低(除隐藏功能外),上手非常快,所以即使是新用户也不需要引导提示来指引用户操作。从产品角度看快手的产品设计,整体逻辑清晰,轻盈没有过多的附加,一直延用最初的产品架构,风格独树一帜。
从运营来看,快手做为一款短视频社交产品,平台中的内容是以UGC短视频形式呈现,在短视频和社交这两个领域都充斥大量的玩家,头部玩家的运营逻辑也都很清晰明确。比如做新媒体社交的微博从创立之初就一直走明星大v的路线,发力短视频投资秒拍后,融入原有风格采用PGC短视频的模式;从陌生人社交扩展的陌陌,也基于原有基因做附近的短视频推荐。反观快手是比较独特的,在快手中似乎看不到明显的运营痕迹,甚至说交给用户去运营,比如:用户关系,快手中的短视频作品没有标签分组,用户创作出什么就是什么,用户可以关注别人同时也可能受到别人的关注,快手不会对高人气的用户做什么单独的动作,所有人的身份都只是快手用户。快手平台看似自由度非常高,但其实有一双无形的手在把控平台内容。违法违背道德内容在平台中是绝对禁止的,快手着实有着一套独特的运营模式,既把平台交给用户,又对其进行无形的约束。
从商业模式来看,生于百家争鸣年代的快手,从最初的工具产品开始走的就是比较常规的To C免费模式,用了4年的时间沉淀积累,终在15年6月爆发,彼时突破1亿用户的快手,也开始探索商业变现之道。粉丝头条这个功能是在16年上线,它的产品逻辑是用户通过支付一定的费用可以将短视频作品在粉的“关注”视频流中置顶同时推送到一定数量用户的“发现”视频流中,从而使作品获得更多的曝光。此功能可以说是一种增值服务,面向的是有强烈增粉需求的用户。
快手做为一款短视频社交产品,平台中的内容是以UGC短视频形式呈现,在短视频和社交这两个领域都充斥大量的玩家,头部玩家的运营逻辑也都很清晰明确。比如做新媒体社交的微博从创立之初就一直走明星大v的路线,发力短视频投资秒拍后,融入原有风格采用PGC短视频的模式;从陌生人社交扩展的陌陌,也基于原有基因做附近的短视频推荐。在短视频综合平台领域,快手目前仍以8000万月活继续领跑。从用户渗透率来看,快手在第一季度的表现排在第3位,秒拍、头条视频多数凭借产品特性优势尤其秒拍与微博合作,其用户渗透率达到62.2%。但是快手作为短视频土著玩家不依靠任何流量入口,相比于同类型玩家45.1%的渗透率也是非常可观。快手在D轮融资后称新一轮的融资将用于持续提升产品体验和技术研发,整体风格仍保持原有的低调稳健。从快手近期的一些动作比如快手官方认证的用户、成为《奔跑吧兄弟》顶级赞助商来看,推测快手未来的发展是要着力于建设品牌扭转在一些舆论中的低端印象、加大推广力度拓展用户获取渠道,同时对既有用户不断提升产品体验,带给用户更多的乐趣。
抖音:
抖音成立与2016年9月,在探索蛰伏了半年以后,平静渡过了产品的探索期,积累了一定量的优质用户原创内容后,出现在了人们的视线之中。从3月份开始,抖音在App store免费榜的排名直线上升。目前已经在App stroe的摄影与录像榜排到了第五名,超过了美拍、秒拍等原有的短视频老玩家,总榜也排到37名的成绩。3月份小岳岳在微博里转发抖音用户模仿他的视频带来了大量的新增用户,也与抖音平台自身沉淀下来的已有优质内容离不开关系。目前抖音是日活达到百万,日均vv(视频播放量)过亿,当前版本评分次数200次,其中五星好评占174次,可见抖音在用户体验方面做的很好。抖音的定位是中国受欢迎的原创音乐短视频分享平台,吸引了音乐视频这一垂直领域的广大用户。与快手深耕三线城市不同,抖音的受众恰恰弥补了快手的缺口,主要用户是一二线城市,24岁以下受过良好教育的年轻人,其中男女比例维持在4:6的优质比例。于是,打开抖音就能感受到这样的氛围——这是年轻人聚集的地方,而且都是对音乐、舞蹈有极高热情和创造力,并愿意展示自我,通过创造、分享来获得满足感的年轻人。这些用户狂拽、酷炫、搞笑、新潮,喜欢充满节奏感的音乐,他们追求的是新潮好玩的生活态度和不无聊的生活节奏。
抖音特色:1.特色滤镜、道具及特效:抖音的视频录制以及合成处理的工序当中,均设置了不同类别的滤镜道具,包括录制工序中的道具滤镜、美颜开关和多种色调滤镜,以及处理工序中的特效滤镜以及时间特效,使视频更酷炫、独特,满足用户的创作欲望,打造独一无二的音乐视频。2.热门挑战:抖音的发现模块会发布热门挑战,用户可以根据其定义规则去录制内容进行投稿,其后根据热门程度进行排名。抖音的热门挑战极具本地化特色,除了最新最潮的音乐外,还包括搞笑音乐、结合热剧热点。正使其强大的运营驱动,使抖音产生了众多优质的内容,通过用户的自传播,为抖音带来了爆发期。
抖音优势:1.定位精准,在音乐视频领域垂直细分:抖音定位为一款专为中国年轻人制造的音乐短视频社区产品,用户群体年龄段趋向到一个接近的区间里,提高制作内容与观众之间产生共鸣的可能性,从而让用户对其产品内容产生一定粘性。抖音能火起来,绝对离不开其精确用户定位以及对功能高专注度的设置分配。2.运营驱动,内容聚合社区:抖音内容模式基本为UGC,鼓励用户创造优质内容,挖掘、分享内容,精准分发的内容,靠的都是强大的运营能力,抖音将无数创意营造为多主题的内容聚合,让用户在一个专注单一形式的短视频应用中拥有了多样化的观看体验,极大地提高用户产品体验及粘性。3.明星、KOL效应:抖音批量导入KOL和承接头条的明星资源,由明星和KOL去创造优质内容,打造出产品相关内容的娱乐IP,才能让用户粘性更足,从而提升产品的生命力。
抖音弱势:1.评论区改进:建议增加给别人的评论点赞,并显示点赞数目的功能。该功能适用的场景是:当用户对别的用户的观点产生认同感又不想打字去评论的时候,一个简单的点赞动作即可完成互动。2.内容风格单一,容易形成审美疲劳:抖音的视频内容多为快节奏,舞蹈派和创意派,视频看多了会形成审美疲劳,因此用户的使用时长低于其他视频平台。
抖音未来发展方向:盈利模式猜想:1.我们可以发现,目前抖音还没有明确的盈利模式,还是更关注在用户增长上面,但是从长远来看,未来抖音团队一定会摸索出自己的盈利模式,也许是像直播平台一样通过付费送礼物的机制,也许是通过开屏广告、信息流广告等的广告机制,也许是像muse一样导流live.ly直播执行粉丝打赏的机制,也许是销售周边产品的机制,还也许是推出会员机制、粉丝头条机制等。2.社交猜想:抖音未来可以考虑一下社交层面,比如增加私信功能。应用场景:当一个粉丝非常想跟自己的爱豆沟通时,TA需要类似私信的功能来完成这个需求,来表达自己对爱豆的喜爱、崇拜,或者请教爱豆拍摄炫酷视频的方法等等。私信功能会帮助积极用户之间建立起联系,促进用户间的互动,进而提高用户粘性。
陌陌:
今年3月,陌陌在7.6版本,通过品牌和VI的双重升级,更换了使用近6年的logo,并通过一系列线上线下的品牌投放,高调亮出“视频社交”的新定位。之后,陌陌在7.7.44版,放出了类似Houseparty玩法的直播多人互动,然后在7.8.2版本,放出了类似Monkey的一对一随机视频聊天。在这些7.x的版本里,多人互动和快聊,都隐藏在原有的功能模块中,完成冷启动和小范围测试,以便进一步迭代。并且,在游戏社交当道的当下,陌陌的7.9版本,也引入了正当红的狼人杀游戏,并在这次的8.0版中给予首屏重推。8.0改版,将短视频基于位置的分发入口和直播的运营位直接暴露在一级页面,也是要在这两个领域以攻为守,继续强化自身在陌生人社交领域的地位。对于陌陌的视频社交战略,可谓是一轮火力全开的推进。在陌生人社交领域一骑绝尘的陌陌,仍能保持活跃的产品迭代,非常难得
陌陌在游戏方面的产品和研发积累,始于2014年。社交游戏这个概念,随着王者荣耀和狼人杀的火爆,被媒体热炒。其实,任何近场面对面、或者在过程中能实时互动(例如利用YY语音)的游戏,都具备社交特性。陌陌游戏采用代理加自研的两条腿走路,在过去三年中,陌陌的游戏在收入结构中,占比最低但一直稳中有升。陌陌2017年一季度财报显示,移动游戏营收为1160万美元,与去年同期的740万美元相比增长56%。以王者荣耀为代表的近场游戏,虽然有益于社交,但毕竟不是专门为社交所设计。真正的社交游戏,应该是规则简单明快,以不超过五分钟的回合制进行,作为轻度游戏,针对的是平时基本不玩手游的light user。而在这一领域,仍存在巨大的市场空间。换言之,让平时不玩游戏的人能参与进来,才是真的王道。要明白,真正的社交游戏,玩的是人,而不是游戏。陌陌此次进入狼人杀,也是充分结合了其在社交、直播、游戏三个方面的优势,其后的发展,非常令人期待。假以时日,在陌陌平台上,形成从针对重度用户的手游,到针对轻度用户的社交小游戏,以及从自研到代理的游戏分发渠道,那时的游戏在陌陌的收入结构会是怎样的情形,参考腾讯,大家可以充分想象。
陌陌基于地理位置提供泛社交、泛娱乐平台。根据公开财报显示,2016年陌陌用户规模连续四个季度上升,2016年末月活跃用户达8110万人,2016Q4净营收2.461亿美元,其中直播净营收1.948亿美元,占总营收79%。艾媒咨询分析师认为,凭借直播和短视频功能,陌陌取得一定市场优势,但与打造泛娱乐平台目标存在差距,内容多样化、使用场景与用户群拓宽将成为发展突破口。
-----------------------------------------------------------
趋势及前景
竞争激烈的市场必然会带来洗牌,几大短视频应用手握巨额用户及PGC等一线网红资源,又有资本的青睐已经站稳了脚跟。使得现在新进入的平台几乎没有做大的可能,只有在细分垂直领域或结合地方或领域特色的短视频平台尚有突围的可能性。小的视频制作公司只能充当MCN的角色。短视频创业者分化。头部内容凭借自身囤积的流量池,能吃到足够的广告转移红利。许多腰部内容和垂直大号会转向电商等尝试。而如果想再造一个papi酱几乎不可能。边缘角色只能勉强给人打工了。
泛娱乐向垂直领域转移。虽然搞笑视频及明星资讯是短视频内容池大户。但份额比例正在下降。同质化现象严重,观众越发感觉审美疲劳,且商业变现困难。而垂直领域市场广阔,竞争尚小。在垂直领域创造差异化竞争成为新的增长点。
陌生人社交助力移动营销发展。陌生人社交用户规模逐渐趋于稳定,陌生人社交行业向商业化发展,为品牌广告主提供营销服务。广告主通过视频、直播方式进行场景营销与品牌营销,海量用户为营销提供流量来源。陌生人社交应用的精准匹配技术实现广告精准投放到目标用户,将有助于移动营销的发展,同时为陌生人社交应用实现流量变现,带来巨大的潜在收入。
大数据算法推动精准匹配。随着智能技术和大数据算法的发展,视频及社交标准发生改变,兴趣、价值观成为外表之后的又一标准。对用户兴趣爱好、价值观、性格进行测试,通过大数据算法对用户进行精准匹配,将提高用户匹配率,提高用户粘度。
用户与内容生产者强互动。用户参与到内容生产者的创作中来,发挥群体智慧将UGC转化成PGC,提高了内容质量。而且这有利于内容生产者的创作及与用户的互动性。





































