黄金比例内在的精华

用户头像
北京/设计爱好者/10年前/3095浏览
黄金比例内在的精华

很多人都知道黄金比例那么他里面的精华和关系你真的知道吗?听我给大家瞎逼逼一番

大家好,好久发东西出来吓唬人了,今年回来就开始接受一个医疗项目,所以忙的不可开胶。最近抽出了时间研究了一下“黄金比例”。说到黄金比较大家可能都只知道的时1.618。那么这个数值怎么用,为什么1.618是黄金比例。一直以来个人也是感觉很湿迷惑,所以近期研究了一些国外的文章(当然英文比较差完全是开有道翻译)。大搞的华基本研究明白了,所以在这里想跟大家分享一下。


在这之前先给大家晒几个图:

在这里先给大家亮个图第一个是不是感觉很low,而第二个看着显然是高大上了。

 在摄影构图中,常常用到的构图法则 “三分法”。即是用到了黄金分割,四条线的四个交点就叫黄金分割点。在拍摄时,把画面的主体放在黄金分割点或是黄金分割线上,这样更符合人的审美习惯,以达到突出主体并让画面更协调的目的。(其实在个av封面中一下抓住男人的需求还是很重要的~~)


好了现在让我来告诉大家黄金分割线的由来

首先是做好黄金比例的圆,如果你是完美主义者中的偏执狂,想要得到一个比0.618更精确的数字,那么可以按照如下方法找到黄金分割点。

大家可以看出来上面的公式就是最长的除以最短的等于总长度除以最长的最后的结果都等于1.618就证明a与b存在黄金比例。那么正如上面说的为什么是1.618?因为1.618存在一个规律并且1.618是个超级物理数现在我们来试试看你可以计算一下,从任意数量和遵循这些步骤:

1)用1除以一个的任意数字

2)得到的结果在加1

3)然后不断重复上面两个步骤,这个时候你会发现。

这个时候我们发现来什么,是不是这个数值越来越接近1.618啦,好接下来我在展示一个神奇的。

当我们采取任何连续两个(一个接一个)数列,其比例非常接近黄金比例。

我们甚至不需要先2和3,这里我换一种规则的数列:

在这里我们可以发现两组数组之间越大然后数组位数相同时就会越接近黄金比例,就好比说一个线段19px,另一个线段2px,其实大家都不用画,想想就会知道一定不和谐,但是黄金比例就是这样只要两者之间存在这种1.618的关系就会看起来很和谐。


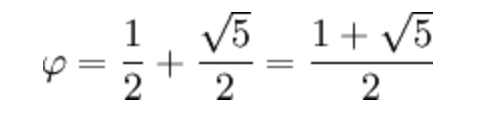
另外黄金比例的画法还有一种大家没见过的关系:

1)画一个正方形我们当它是尺寸为“1”

2)位置点沿着一边一半

3)画一条线指向相反的角落(它将√5/2的长度)

在这里存在一个公式

因为根号5大约是2.236068,所以黄金比例大约是(1 + 2.236068)/ 2 = 3.236068 / 2 = 1.618034。


多谢大家能听我瞎逼逼


37
举报
|
42
分享
评论
用户头像
评论你的想法~
表情
喜欢TA的作品吗?喜欢就快来夸夸TA吧!
加载中
推荐素材
金色颗粒质地的平面
金色颗粒质地的平面
牛奶乳液层次梯田平铺平面
城市园林平面布局航拍
平面花卉图案扁平简约无缝拼接插画
金色颗粒质地的平面
平面设计 吊牌设计
原创UIUX交互橙红渐变炫酷视觉平面设计作品集模板PSD
城市园林平面布局航拍
金色颗粒质地的平面
空的平台平面和自然景观
玄关入门地毯印花图案红地毯
牛奶乳液层次平面平铺平面
城市园林平面布局航拍
“知识宅急送”外卖,快递,平面,海报,素材,教育
水蜜桃和李子的平面水果图案
金色颗粒质地的平面
海底世界插画
中秋节可爱呆萌平面兔子蛋黄月饼贴纸素材
金色颗粒质地的平面
倒计时,海报,平面
平面男孩喝咖啡插画设计
平面书法字手写
平面插画设计女孩喝咖啡
平面风格黄绿色系花朵装饰
登录注册